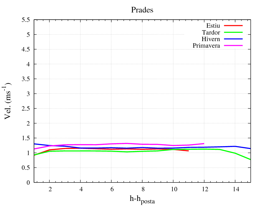
Mitjanes dels refredaments, dels ritmes de refredaments i de l'evolució del mòdul de la velocitat del vent durant les nits estables


Tornar a la pàgina principal

Refredament Ritme de refredament Evolució velocitat vent